Today’s Dad Joke
How can you identify a dogwood tree?
By its bark
Housekeeping
- Get feedback to your peers! (And upload to Brightspace)
- Final draft DUE December 11
- Self Assessment Reflection
- Feedback for me (Purdue / Google Form / email / Discord)
- Sign up to meet with me (virtually is great)
- Presentations on Thursday
Racism in America
- Overt, animus-based racism has declined a lot

But there is still lots of racism
- Some is psychological
- Unconscious biases
- Homophily
- Some is “structural” and a result of past racism
- Examples in the built environment?
- In education?
- In hiring?
Networks and racism
- How can networks produce or maintain racially biased outcomes?
- How does this tie into ideas about social/cultural/economic capital?
- How can we use what we know about networks to reduce racial inequality?
Networks matter a lot
- In the 90s, people were given vouchers to move to lower poverty areas
- Chetty at al. found that children did better as adults the longer they lived in higher income / higher mobility areas
- Why? One (the best!) explanation is that people gain greater social capital
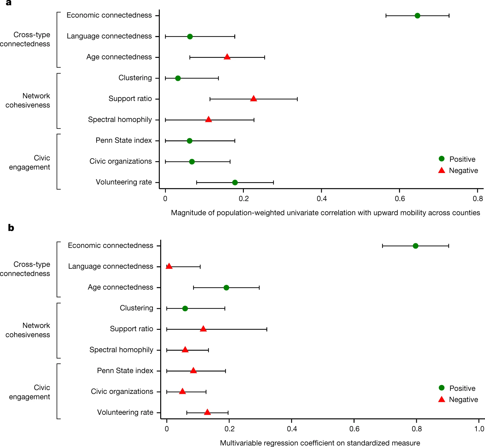
Follow up study in 2022
- Measured a few markers of social capital
- Most important predictor of upward mobility was high “economic connectedness” of where you lived
- Economic connectedness was measured as the proportion of high-income people that low-income people were connected to in the area
Follow up study in 2022
Takeaways
- Networks provide a hidden inertia to society, reproducing the world as it is
- Differences in economic capital or cultural capital are more visible
- Our achievements are partially a function of our undeserved social networks
- Worth thinking about “network equality”